|
Конспект уроку до предмету Фізика, 11 клас Тема«Коливальний рух. Вільні коливання. Амплітуда, період, частота. Математичний маятник»
Мета уроку: отримати вираз для періоду та частоти коливань маятників та використати їх при розв’язуванні задач
Обладнання: математичний маятник, вертикальний та горизонтальний пружинні маятники. Програмне забезпечення: Interactive Physics 3.0 (http://www.arborsci.com/Files/ipdemo.exe)
Хід уроку.
1. Оголошення мети уроку.
2. Змістова частина.
Двадцятирічний Галілей, перебуваючи на месі в костьолі звернув увагу на канделябр, підвішений до стелі. Канделябр ритмічно розхитувався. Намацавши власний пульс, він пересвідчився в тому, що період його коливання з часом не змінювався, не зважаючи на зменшення амплітуди коливань. Ця властивість згодом отримала назву ізохронності математичного маятника. Знадобилась вона Галілею вже у похилому віці, коли постала проблема створення приладу для вимірювання часу, який міг би використовуватись на кораблі. Визначення точних координат корабля у відкритому океані неможливе без точного визначення моменту часу. Водяні та пісочні годинники того часу не задовольняли потреби мореплавців, хоча і залишались основними приладами для вимірювання часу. Пригадавши властивість ізохронності маятника, Галілей розробляє прототип приладу для вимірювання часу. Проте перебуваючи під пристрасною увагою святої інквізиції та враховуючи недоброзичливе ставлення властителів Венеціанської республіки, Галілей ділиться своєю ідеєю зі своїм давнім товаришем послом Нідерландів у Індії Костянтином Гюйгенсом, надіславши йому кодованого листа. Костянтин Гюйгенс поставив до відома уряд своєї країни про стратегічний винахід Галілея. Реакція не примусила себе чекати – уряд Нідерландів пропонує Галілею чималу суму грошей та та дорогий подарунок з надією про співпрацю. Галілей, розуміючи, що це може бути розцінене, як зрада державних інтересів, відмовляється від пропозиції. Проте з часом ідея Галілея знайшла конкретне втілення у винаході, зробленому сином Костянтина Гюйгенса – Християном Гюйгенсом, видатним математиком та природознавцем свого часу. Гюйгенсу належить винахід годинника, у якому для відрахування однакових інтервалів часу, використовується ізохронність маятника. Саме йому належить сьогодні пріоритет винаходу та на його честь назване співвідношення для визначення періоду коливань математичного маятника. Розглянемо метод отримання цього співвідношення.
Відношення приросту функції до приросту аргументу, за умови, що приріст аргументу прямує до 0 називається похідною функції. Легко бачити, що миттєва швидкість тіла є похідною від його координати по часу:
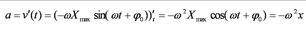
 оскільки , а прискорення є похідною від швидкості
оскільки
Враховуючи вище викладене, проаналізуємо динамічне рівняння пружинного, математичного маятників та залежність координати від часу.
З врахуванням похідної маємо:
та 
Продиференціюємо двічі залежність координат по часу:
  Рівняння є динамічним рівнянням гармонійних коливань.
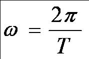
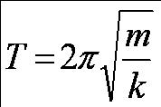
Виходячи з цього легко бачити, що для пружинного маятника , а для математичного маятника , звідки
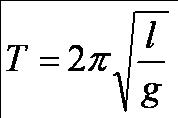
використавши, що маємо для пружинного маятника , для математичного маятника .
Останній вираз названо формулою Гюйгенса.
Демонстрація 2. Демонструється залежність періоду коливань математичного маятника від довжини нитки. Демонстрація 3. Демонструється незалежність періоду коливань від маси вантажу. Демонстрація 4. Демонструється залежність періоду коливань пружинного маятника від жорсткості пружини. Демонстрація 5. Демонструється залежність періоду коливань пружинного маятника від маси вантажу. Ілюстрація 2. Демонструється залежність періоду коливань пружинного маятника від маси та жорсткості пружини на моделі, створеній в середовищі Interactive Physics 3.0
3. Розв’язування задач.
1. Визначити довжину секундного маятника. 2. Тіло здійснює коливання за законом . Визначити частоту, період коливань тіла, максимальну швидкість та прискорення тіла, його координату на 2 с руху. 3. Два тіла починають рухатись одночасно – одне, будучи підвішене на нитці, довжиною l з положення максимального відхилення на невеликий кут, друге, вільно падаючи з точки підвісу. Яке з тіл пройде положення рівноваги першим?
4. Домашнє завдання
§ 13, Впр. 5 (4) Фізика 11, Освіта, С.У.Гончаренко
Надіслано главою ассоціації вчителів фізики «Шлях освіти-ХХI» Чернецьким І.С.
Предмети > Фізика і астрономія > Фізика 11 клас > Коливальний рух. Вільні коливання. Амплітуда, період, частота. Математичний маятник. Коливання вантажу на пружині > Коливальний рух. Вільні коливання. Амплітуда, період, частота. Математичний маятник. Конспект уроку і опорний каркас
|