|
Гипермаркет знаний>>Математика>>Математика 6 класс>>Математика: Сложение отрицательных чисел
32. Сложение отрицательных чисел
1) сложить их модули; 2) поставить перед полученным числом знак « — >> Например,
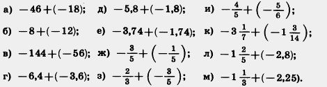
К 1027. Число —2 изменили на —5. С какой стороны от начала отсчета расположено полученное число? Чему равно его расстояние от начала отсчета? Чему равна сумма чисел —2 и —5? 1028. В первую половину ночи температура изменилась на — 5 °С, во вторую — на — 4 °С. На сколько градусов изменилась температура за ночь? 1029. Выполните сложение: 1030. Поставьте вместо * знак <С или > так, чтобы получилось верное неравенство: а) -17 + (-31)* -17; б) —22 + ( —35) * -35. 1031. Найдите значение выражения х + у + ( —16), если: а) х= —17, у=-29; б) х= -9,1, у=-7,4; 1032. Найдите значение выражения: а) (- 0,251 +(- 0,37)) + (- 0,2 +(- 0,152)); П 1033. Вычислите устно: 1035. Известно, что х и у — положительные числа. Сравните: а) 0 и х; в) — х и у; д) |х| и — х; ж) — хи |у|; 1036. При каких значениях m верно неравенство: а) m>—m; б) —m>m; в) m>m + m? 1037. На координатной прямой отмечены точки А(х) и В (у). Найдите координату середины С отрезка АВ, если: 1038. Объем цилиндра равен произведению площади од- Elii ного его основания и высоты. Объем конуса в 3 раза меньше объема цилиндра с такими же основанием и высотой (рис. 82). Вычислите объем цилиндра и объем конуса, у которых высоты по 12 см и радиусы оснований по 2 см. 1041.найдите значение выражения: 1042. Сплавили кусок меди, объем которого 15 см3, и кусок цинка, объем которого 10 см3. Какова масса 1 см3 сплава, если масса 1 см3 меди 8,9 г, а масса 1 см3 цинка 7,1 г? Результат округлите до десятых долей грамма. 1043. В бассейн налили 1400 м3 воды, что составляет 35% объема всего бассейна. Чему равен объем всего бассейна?
Учебники по всему предметам скачать, разработка планов уроков для учителей, Математика для 6 класса онлайн
Содержание урока
Если у вас есть исправления или предложения к данному уроку, напишите нам. Если вы хотите увидеть другие корректировки и пожелания к урокам, смотрите здесь - Образовательный форум. |
Авторські права | Privacy Policy |FAQ | Партнери | Контакти | Кейс-уроки
© Автор системы образования 7W и Гипермаркета Знаний - Владимир Спиваковский
При использовании материалов ресурса
ссылка на edufuture.biz обязательна (для интернет ресурсов -
гиперссылка).
edufuture.biz 2008-© Все права защищены.
Сайт edufuture.biz является порталом, в котором не предусмотрены темы политики, наркомании, алкоголизма, курения и других "взрослых" тем.
Ждем Ваши замечания и предложения на email:
По вопросам рекламы и спонсорства пишите на email:

















